热电器件根据载流子输运特性能够直接将热能和电能进行相互转化,并且具有无噪声、无移动部件、体积小和长寿命等优点。基于热电效应,目前热电材料广泛应用于热电偶测温相关领域,并在深空探测、便携式冰箱、恒温水浴槽、工业废热和汽车尾气废热回收等领域也有一定的应用。MNiSn(M = Ti,Zr)基half-Heusler(HH)合金是一种热电性能和力学性能优异的热电材料,然而该体系热电材料晶格热导率偏高限制了其热电性能的大幅提升。
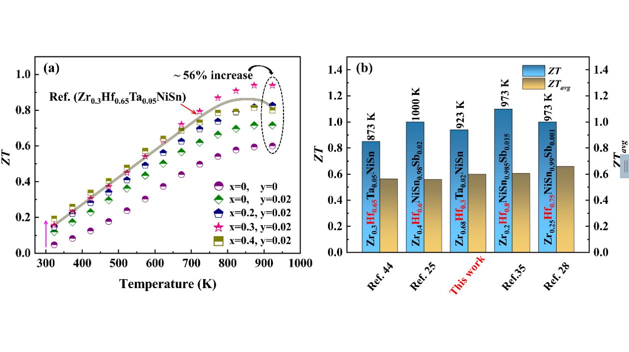
王同敏教授团队前期以ZrNiSn基HH合金为研究对象,采用磁悬浮熔炼结合放电等离子体烧结技术制备出了高品质的ZrNiSn试样。通过细化晶粒引入晶界散射源使ZrNiSn基体热电优值(ZT)在923K达到0.6。利用“斜对角掺杂”策略在Zr位进行Ta掺杂制备不同组分的Zr1-xTaxNiSn(x = 0 ~ 0.06)试样,实现提升电导率的同时降低了晶格热导率,最终使其ZT提升至0.72,增加了约20%(ACS Applied Materials & Interfaces,2020, 12:3773)。针对ZrNiSn合金中本征原子无序的定性分析难题及其对热电性能的影响机制,采用高分辨扫描透射电子显微镜证实了ZrNiSn合金中本征原子无序的存在,通过实验结果结合第一性原理计算分析表明,施主掺杂以及退火处理能够有效调控ZrNiSn合金中的本征原子无序度,实现热导率和电导率解耦,有效提升其热电性能(Nano Energy, 2020)。通过球磨从源头调控TiNi2Sn第二相的大小,成功解决了TiNi1+xSn试样中TiNi2Sn第二相大小和分布不均匀等问题,使其热电性能得到了较大幅度的提升(Journal of Materials Science & Technology, 2021)。

在此基础上,王同敏教授团队在Zr位置进行同族Hf替代,引入点缺陷散射源进一步降低晶格热导率,最终制备出Ta掺杂和Hf替代的ZrNiSn基HH块体合金,ZT在923K高达0.94,增加了约56%。相关成果以“Enhancement in Thermoelectric Properties of ZrNiSn-based Alloys by Ta Doping and Hf Substitution”为题发表在金属材料领域权威期刊Acta Materialia上(DOI: /10.1016/j.actamat.2022.117976),

文章共同通讯作者为我室王同敏教授、康慧君教授和蒋雪教授。
上述研究工作得到国家重点研发计划、国家自然科学基金、辽宁省兴辽英才计划和博士后创新人才支持计划的大力支持。